水保所在工程堆积体细沟动态发育过程研究方面取得进展
近日,水保所水土保持生态工程技术研究中心高照良研究员团队国际期刊《Soil &Tillage Research》上发表了题为“Characteristics of rill erosion in spoil heaps under simulated inflow: A field runoff plot experiment”的研究论文。该论文以我校博士研究生牛耀彬为第一作者、高照良研究员为通讯作者。
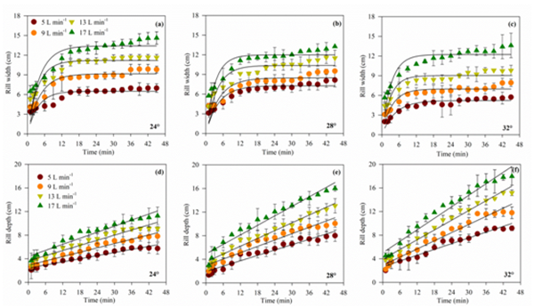
该研究基于对工程堆积体大量的野外调查,通过在野外试验小区坡面构筑微型形态的方法,对单条细沟动态发育过程进行连续观测,分析坡面细沟形态参数变化规律。研究结果表明,堆积体坡面细沟发育过程可划分为快速发展和缓慢发展两个阶段,沟宽、沟深、累计径流量和累计泥沙量在快速发展阶段对侵蚀泥沙总量的影响分别占81%、57%、29%和41%,沟深对坡面侵蚀泥沙总量的贡献比较大。此外,细沟发育过程中坡面流流型和流态也发生显著变化。该研究量化了工程堆积体坡面细沟动态发育过程,同时为细沟侵蚀形态演变与侵蚀产沙交互影响研究提供了新线索。
工程堆积体作为生产建设项目水土流失的重要来源,其坡面土壤侵蚀过程受到广泛关注。坡面细沟发育在侵蚀能量传递和泥沙输移中扮演着重要角色,细沟的动态发育过程可通过量化细沟形态参数来反映。目前基于间歇性降雨和三维激光扫描技术对坡面侵蚀形态进行了大量研究,取得了显著成果。然而,受控于侵蚀过程的随机性和细沟发育的不连续性,细沟形态动态发育研究仍然存在诸多不足。
该研究得到国家自然科学基金和“十三五”国家重点研发计划等共同资助。

图 1 堆积体野外试验小区及坡面细沟发育过程

图 2 工程堆积体坡面细沟沟宽和沟深随时间变化过程
文章链接 :https://www.sciencedirect.com/science/article/pii/S0167198720304372?dgcid="coauthor